【军训系列四】军训记事
文/丁薇 图/曹钰 丁薇
为期七天的军训自拉开帷幕至今已过近半,同学们也慢慢适应了军训的生活。经过与教官、老师的几日相处,大家一改往日的紧张和焦躁心理,以更加积极的心态和更加饱满的精神融入到军训生活之中。
每天早上六点起床,跑操、热身训练过后,回到宿舍整理内务、吃早餐。上午的正式训练从八点开始。教官为同学们制定了一整套的训练流程,从站军姿、停止间转法到齐步、跑步走,再到军体拳、匕首操、健康操……训练场上口号声此起彼伏,同学们都在汗水的挥洒中进步和改变着。
一日三餐是训练场之外的另一件大事。在训练结束后,所有同学在教官的组织下拿上自己的碗筷,于餐厅下集合队伍。每桌的值日同学提前到餐厅为同一桌的战友打好饭菜后,所有同学有秩序地进入餐厅就坐。在吃饭之前,大家要齐声背诵“谁知盘中餐,粒粒皆辛苦”的诗句,吃饭过程中不允许任何人说话,吃完饭值日同学需要收拾餐桌卫生,其他同学清洗自己的碗筷。整个就餐过程秩序井然,充分践行了就餐礼仪,这是对同学们无声的教育。
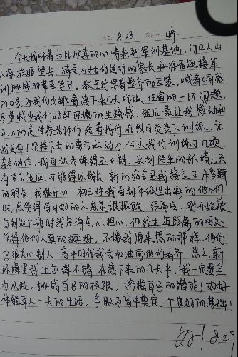
军训过程中体力训练是一部分,充分了解学生的内心感受,增强师生互动也显得尤为重要。每天都给学生固定的时间书写日记,表达每一天军训的内心感受,班主任老师在读学生日记的过程中了解学生的心理,对学生进行及时的鼓励,让本次军训在他们的笔端,更在他们的心里留下印记。
30日,学校邀请学生家长代表到军训基地参观学生的军训场所和训练面貌,感受军训的氛围。各位家长到训练场观看学生的训练,并参观了学生宿舍、食堂等,对于学生的训练面貌和食宿条件都感到满意,更对孩子们经过军训后的面貌非常期待。
从同学们方方面面的表现中已经能够深深感受到他们的变化,从紧张害怕到从容面对,从怕苦怕累到坚持不懈,从忍受度过到满怀期待、认真训练。我们有理由相信,他们会在本次军训中成就蜕变!

大家带着凳子整队





















军训日记(点击照片可放大)

班主任阅读军训日记

家长参观餐厅

家长参观宿舍

家长参观学生就餐
